
Votul din diaspora dă semne clare că va avea un impact major în turul decisiv al alegerilor prezidențiale.
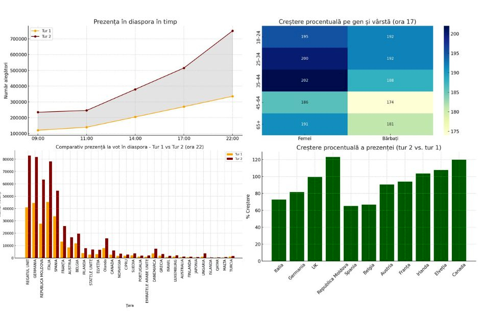
Potrivit unei analize realizate de sociologul Antonio Amuza de la Institutul Român pentru Evaluare și Strategie (IRES), prezența la vot în primele două zile a crescut cu 123% față de turul întâi, marcând o reconfigurare substanțială a dinamicii electorale în afara granițelor țării.
Datele colectate arată o mobilizare constantă pe parcursul celor două zile, fără fluctuații semnificative în intervalele orare, semn că votanții din diaspora au tratat cu interes major procesul electoral.
În topul țărilor cu cei mai activi alegători se află, în ordine: Marea Britanie, Germania, Italia, Republica Moldova, Spania și Franța. Acest grup a reprezentat și în turul întâi un nucleu de mobilizare, dar cifrele actuale le depășesc cu mult pe cele din urmă cu două săptămâni.
În plus, se remarcă o creștere spectaculoasă a prezenței în alte state precum Ungaria – unde numărul votanților aproape s-a triplat –, Elveția, Olanda și chiar Statele Unite.
Din perspectiva socio-demografică, femeile cu vârste între 25 și 44 de ani au înregistrat o participare dublă față de turul întâi, ceea ce poate influența decisiv profilul votului final.
„Asistăm la un fenomen interesant: diaspora nu doar că s-a mobilizat mai devreme și mai amplu, dar și-a păstrat ritmul constant, fără a aștepta duminica pentru a vota. Rămâne de văzut dacă această energie va continua și în ultima zi, sau dacă vom observa, ca în turul întâi, o încetinire a dinamicii în ziua decisivă”, a explicat Antonio Amuza.
În aceste ore decisive, întrebarea sociologilor este dacă diaspora va păstra același elan și duminică sau asistăm deja la vârful mobilizării externe. Rezultatul ar putea răsturna toate prognozele.